Calzadas, Caminos y Puentes

Por donde iban?

Ordenar por: Título · Visitas · Antigüedad

Millau_mapa de situación
Millau_mapa de situación

4.521 visitas · 1 relaciones · 19 de dic. 2005

Millau_Vista de la calzada
Millau_Vista de la calzada

3.139 visitas · 1 relaciones · 19 de dic. 2005

Millau_vista diagonal
Millau_vista diagonal

3.134 visitas · 1 relaciones · 19 de dic. 2005

Milreu, Portugal - 
Cruz suástica romana
Milreu, Portugal - Cruz suástica romana

5.573 visitas · 1 relaciones · 08 de oct. 2007

Milreu, Portugal - Degraus em mosaico com motivos marinhos
Milreu, Portugal - Degraus em mosaico com motivos marinhos

2.322 visitas · 2 relaciones · 08 de oct. 2007

Milreu, Portugal - Detalhe de mosaico em pavimento
Milreu, Portugal - Detalhe de mosaico em pavimento

3.149 visitas · 1 relaciones · 08 de oct. 2007

Milreu, Portugal - Mosaico com peixes em parede
Milreu, Portugal - Mosaico com peixes em parede

2.129 visitas · 2 relaciones · 08 de oct. 2007

Milreu, Portugal - Mosaico em parede com peixes
Milreu, Portugal - Mosaico em parede com peixes

2.029 visitas · 2 relaciones · 08 de oct. 2007

Milreu, Portugal - Mosaico em parede com peixes
Milreu, Portugal - Mosaico em parede com peixes

1.732 visitas · 2 relaciones · 08 de oct. 2007

Milreu, Portugal - Mosaico em pavimento com peixes
Milreu, Portugal - Mosaico em pavimento com peixes

2.723 visitas · 2 relaciones · 08 de oct. 2007

Miróbriga, Portugal - Estrada e ponte
Miróbriga, Portugal - Estrada e ponte

1.297 visitas · 1 relaciones · 11 de oct. 2007

Miróbriga, Portugal - Ponte romana
Miróbriga, Portugal - Ponte romana

1.227 visitas · 1 relaciones · 11 de oct. 2007

Miróbriga, Portugal - Ponte romana
Miróbriga, Portugal - Ponte romana

1.490 visitas · 1 relaciones · 11 de oct. 2007

Miróbriga, Portugal - Ponte romana
Miróbriga, Portugal - Ponte romana

1.339 visitas · 1 relaciones · 11 de oct. 2007

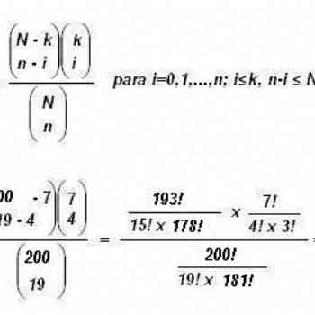
Modelo hipergeométrico
Modelo hipergeométrico

2.917 visitas · 0 relaciones · 14 de ene. 2008

Molino de Villa del Rey (Cáceres)
Molino de Villa del Rey (Cáceres)

3.453 visitas · 1 relaciones · 15 de nov. 2005

Moneda de la epoca de Constancio II. Mostoles
Moneda de la epoca de Constancio II. Mostoles

5.436 visitas · 1 relaciones ·

Montaña escalonada
Montaña escalonada

1.395 visitas · 0 relaciones · 24 de jun. 2008

Monte do castelo
Monte do castelo

5.207 visitas · 1 relaciones · 18 de sep. 2007

monte muru
monte muru

1.305 visitas · 0 relaciones · 25 de ene. 2007

Monumento Ubio
Monumento Ubio

1.815 visitas · 1 relaciones · 16 de abr. 2008

Mosaico en Mérida
Mosaico en Mérida

1.979 visitas · 0 relaciones · 20 de nov. 2005

móstoles
móstoles

1.978 visitas · 0 relaciones · 09 de feb. 2005

móstoles
móstoles

1.904 visitas · 0 relaciones · 09 de feb. 2005


Hay 1.323 imágenes.
página anterior 1 ... 34 35 36 37 38 ...56 página siguiente


Volver arriba